單孔膜空氣擴散器,曝氣器,曝氣頭,管式曝氣器,盤式曝氣器,曝氣盤,懸浮填料,彈性填料,生物填料;曝氣器是活性污泥水處理曝氣系統中的核心設備,通過曝氣器增加污水中氧的含量,用于微生物的生長和生化反應,改善水體環境?有統計資料表明[1-3],曝氣系統電能的消耗占污水處理系統全部電能消耗的60%以上,曝氣系統的電耗費用占整個污水處理系統運行成本的40%左右[4,5]?傳統的曝氣系統因氧利用率低導致能耗大的缺點一直受到國內外專家密切關注,并對此進行了相關的研究,然而這些問題并未得到實質性的改善[6-8],因此,改進曝氣設備使其提**率?降低能耗成為環保產業的重要研究課題?
本研究采用脈沖式微孔曝氣充氧方式來提高曝氣器效率?實驗采用4種相同直徑?不同類型膜片的曝氣盤在曝氣池中進行清水性能實驗,測得其在實驗條件下的充氧性能,實驗對比分析了脈沖式曝氣和連續曝氣方式的充氧效果,初步得出脈沖式曝氣具有更好的充氧效果,為污水處理中的曝氣系統提供新的研究方向?
1 實驗部分
1.1 實驗裝置
脈沖式微孔曝氣器實驗裝置示意圖如圖1所示,主體是一個0.8m×0.6m×1m的矩形曝氣池,為了便于觀察實驗現象,曝氣池用透明的有機玻璃制成?

1.2 實驗設備和儀器
實驗設備和儀器包括型號為ZBM-0.1/8空氣壓縮機?型號AR2000-02調壓閥?型號FX2N-64MT的PLC?型號LZB-10轉子流量計和型號JPB-607A溶解氧測量儀?
4種盤型微孔曝氣盤的直徑都為270mm,分別是平EPDM膜片材料的微孔曝氣器?凸EPDM膜片材料的微孔曝氣器?蘑菇頭狀微孔曝氣器和硅橡膠膜片材料的微孔曝氣器,如圖2所示?
1.3 氣泡形成受力分析
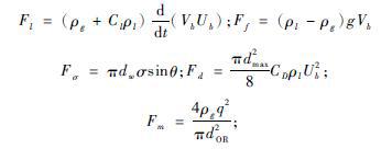
由于曝氣產生的氣泡眾多,以單個氣泡為例,分析其在傳統的連續曝氣和脈沖式曝氣情況下的受力情況,如圖3所示?氣泡在連續曝氣情況下生成過程中受到上升浮力Ff?約束力Fσ?流體對氣泡的粘性力Fd?慣性力Fl?通過小孔的氣體沖量的力Fm 等力的作用,氣泡受力分析如圖3(a)所示?采用脈沖曝氣方式時,膜片在收縮過程中還受到阻力Fz的作用?由于周期性的氣壓,膜片做間歇性的鼓起?收縮,膜片在收縮的某一瞬間過程中氣泡的受力情況如圖3(b)所示?
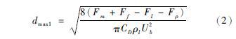
氣泡在連續曝氣情況下的受到的力平衡公式如下式(1)所示:

![]()
具體公式表達式如下所示:
式中:ρg 為氣相密度,kg/m3;Cl為虛擬質量系數,11/16;ρl為液相密度,kg/m3;Vb為氣泡體積,m3;Ub為氣泡質心垂直速度,m/s;dmax 為氣泡直徑,mm;CD 為阻力系數;θ為氣泡接觸角;σ為表面張力,N/m;dw 為氣泡的接觸直徑,m;dOR為孔口直徑,m;q為孔口氣體流量,m3/s?
由式(1)整理可得,在膜片鼓起時氣泡直徑dmax1:

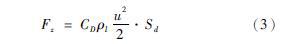
氣泡在脈沖式曝氣情況下,周期性的氣壓使膜片收縮?鼓起,在膜片收縮的過程中,氣泡又受到阻力Fz的作用,如式(3)所示:
![]()
式中:Sd為球形氣泡在垂直方向上的投影面積,m2;u為氣泡向下振動時脫離孔口的瞬時速度?
由力的平衡條件得:
![]()
式中:

由式(4)整理可得,在膜片收縮時氣泡直徑dmax2:

式中:dmax1為連續曝氣中膜片鼓起時氣泡直徑,m;dmax2為膜片收縮時氣泡在某一時刻直徑,m?具體參見http://www.dowater.com更多相關技術文檔。
比較式(2)和式(6)可得,膜片在某一收縮的過程中,都有dmax2
河南山水環保材料有限公司
手機:15838066122
電話:0371-64388198
聯系人:韓經理
E-mail:15838066122@163.com
地址:鄭州高新技術產業開發區長椿路